The package mipwelcona
can be used to calculate the development of the concentrations of solvents in pumped groundwater. The package is based on the results of:
This package is a further development of the program WELCONA.
You can install the released version of menyanthes from with:
devtools::install_github("KeesVanImmerzeel/mipwelcona")
Then load the package with:
library("mipwelcona")
mw_read_streamlines()
: Read streamlines from *.iff file;mw_read_well_filters()
: Read wells from *.ipf file;mw_conc_init()
: Initialize base streamline concentration table;mw_conc_streamlines()
: Calculate concentrations on streamlines at specified times.mw_create_sl_fltr_table()
: Create table with indices linking the streamlines to well filters.mw_conc_filters()
: Calculate concentrations (mixed) of selected filters at times as specified in table created with mw_conc_streamlines()
mw_conc_wells()
: Calculate concentrations (mixed) of selected wells at times as specified in table created with mw_conc_streamlines()
.Functions to create example data:
mw_example_conc_layer_levels()
: Initialise example concentration layer levels;mw_example_concentrations()
: Initialise example concentrations in the subsoil; mw_example_base_streamline_conc_table()
: Initialise example base streamline concentration table as created with the function mw_conc_init()
; mw_example_conc_streamlines()
: Initialise example concentrations on streamlines at specified times as created with function mw_conc_streamlines()
.mw_example_sl_fltr_table()
: Initiate example table with indices linking the streamlines to well filters as created with function mw_create_sl_fltr_table()
.To get help on the functions in this package type a question mark before the function name, like ?mw_read_streamlines()
Prepare the following files in order to be able to perform an analysis with mipwelcona
:
iff
streamline file;ipf
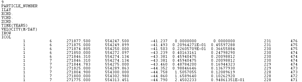
well filter file;By streamline calculation in MIPWA (backwards from well screens), an iff
file is created. Here is a screenshot of the top lines in an iff
file containing the calculated streamlines.
In MIPWA the ipf
file specifies the well characteristics (location, discharge etc.). Here is a screenshot of the top lines in an ipf
file.
The initial concentrations in the subsoil must be specified for every concentration layer. These initial concentrations (maps) have the format of a RasterLayer
. In mipwelcona
these raster layers are specified in a single object: a RasterBrick
. The first RasterLayer
in the RasterBrick
represents the concentrations in the top concentration layer, the second RasterLayer
represents the concentrations in the concentration layer below the first concentration layer etc. An example of a RasterBrick
with concentrations is supplied using the function mw_example_concentrations()
.
The concentration layers are separated at levels that are also with a RasterBrick
object. The first RasterLayer
in this RasterBrick
represents the levels between the top concentration layer and the concentration layer below the top concentration layer etc. So, if (n) concentration layers are specified, the number of level RasterLayers
to specify is equal to (n-1). An example of a RasterBrick
with levels of concentration layers is supplied using the function mw_example_conc_layer_levels()
.
fname <- system.file("extdata","streamlines.iff",package="mipwelcona")
strm_lns <- mw_read_streamlines(fname)
fname <- system.file("extdata","well_filters.ipf",package="mipwelcona")
well_fltrs <- mw_read_well_filters(fname)
(8 example rasters layers in this case).
conc_l_lev <- mw_example_conc_layer_levels()
(9 example rasters layers in this case).
conc_l <- mw_example_concentrations()
conc_strm_lns <- mw_conc_init(strm_lns, conc_l_lev, conc_l)
conc_streamlines <- mw_conc_streamlines(conc_strm_lns, times=c(1*365,5*365,10*365,25*365), processes=c("dispersion","decay", "retardation"), alpha=0.3, rho=3, labda=0.0001, retard=1)
# sl_fltr_table <- mw_create_sl_fltr_table(strm_lns, well_fltrs, maxdist=100)
Overrule previously created table first for this example. Normally, you wouln't do this!
sl_fltr_table <- mw_example_sl_fltr_table()
conc <- mw_conc_filters( fltr_nrs=c(1,2), well_fltrs, sl_fltr_table, conc_streamlines )
conc <- mw_conc_wells( well_nrs=c(1,9), well_fltrs, sl_fltr_table, conc_streamlines )
The theory behind the concentration calculations is published in Stromingen 1996, Stromingen 1996 (2).
Add the following code to your website.
For more information on customizing the embed code, read Embedding Snippets.