tests/testthat/examples/knitr-examples/088-pandoc-embedded.md

% Converting Markdown to Other Formats with knitr::pandoc() % Yihui Xie % March 1st, 2013

A bit introduction here.

Start with a cool section

You can use traditional Markdown syntax, such as links and code.

Followed by another section

Of course you can write lists:

Or ordered lists:

  1. items
  2. will
  3. be
  4. ordered
    • nested
    • items

More sections

Hi

hi hi

Hello

hello hello

Howdy

howdy howdy

Okay, some R code

fit = lm(dist ~ speed, data = cars)
b = coef(fit)  # coefficients
summary(fit)
## 
## Call:
## lm(formula = dist ~ speed, data = cars)
## 
## Residuals:
##    Min     1Q Median     3Q    Max 
## -29.07  -9.53  -2.27   9.21  43.20 
## 
## Coefficients:
##             Estimate Std. Error t value Pr(>|t|)    
## (Intercept)  -17.579      6.758   -2.60    0.012 *  
## speed          3.932      0.416    9.46  1.5e-12 ***
## ---
## Signif. codes:  0 '***' 0.001 '**' 0.01 '*' 0.05 '.' 0.1 ' ' 1
## 
## Residual standard error: 15.4 on 48 degrees of freedom
## Multiple R-squared:  0.651,  Adjusted R-squared:  0.644 
## F-statistic: 89.6 on 1 and 48 DF,  p-value: 1.49e-12

The code will be highlighted in all output formats.

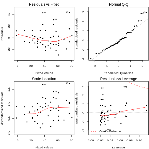
And some pictures

par(mfrow = c(2, 2), pch = 20, mar = c(4, 4, 2, 0.1), bg = "white")
plot(fit)

Regression diagnostics

A little bit math

Our regression equation is $Y=-17.5791+3.9324x$, and the model is:

$$ Y = \beta_0 + \beta_1 x + \epsilon$$



Try the parsermd package in your browser

Any scripts or data that you put into this service are public.

parsermd documentation built on Aug. 21, 2025, 5:27 p.m.