README.md

lmcoef

R-CMD-check

Overview

lmcoef is a package for statistical analysis that allows users to obtain estimation results from linear regression model with another implementation. As a substitution for the well-known lm function, this package aims to allow users to separately obtain different estimates that are more useful for them adjusting for different scenarios when analyzing larger data sets. As a new implementation, it would save much time when user facing a specific condition of constraint polynomial regression.

So far, this package includes one function:

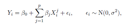
For i = 1,...,n

image

where parameter beta(j) = beta(j-1)/j for j = 2,...,p and predictor X(i) = i/n.

Installation

Github installation is used to install lmcoef:

# install.packages("devtools")
devtools::install_github("hzhang0311/lmcoef")

Usage

## SKIP: Download & Installation
# install.packages("devtools")
# devtools::install_github("hzhang0311/lmcoef")
library(lmcoef)

######################## lm_coef ########################
## Given the data below
y = c(78.5, 74.3, 104.3, 87.6, 95.9, 109.2, 102.7, 72.5, 93.1, 115.9, 83.8, 113.3, 109.4)
x = data.frame(X1 = c(7, 1, 11, 11, 7, 11, 3, 1, 2, 21, 1, 11, 10), 
               X2 = c(26, 29, 56, 31, 52, 55, 71, 31, 54, 47, 40, 66, 68), 
               X3 = c(6, 15, 8, 8, 6, 9, 17, 22, 18, 4, 23, 9, 8), 
               X4 = c(60, 52, 20, 47, 33, 22, 6, 44, 22, 26, 34, 12, 12))

# To obatin both estimated coefficients and quantiled residuals
rst = lm_coef(y,x)

# To obatin estimated coefficients alone
rst$coefficients

# >               Estimate    Std_Err     t.stat    p.value
# > (intercept) 62.4053693 70.0709592  0.8906025 0.39913356
# > X1           1.5511026  0.7447699  2.0826603 0.07082169
# > X2           0.5101676  0.7237880  0.7048577 0.50090110
# > X3           0.1019094  0.7547090  0.1350314 0.89592269
# > X4          -0.1440610  0.7090521 -0.2031741 0.84407147

# To obtain the ANOVA table
rst$anova

# >           Df       Sum.Sq      Mean.Sq      F.value      p.value
# > X1         1 1450.0763281 1450.0763281 242.36791816 2.887559e-07
# > X2         1 1207.7822656 1207.7822656 201.87052753 5.863323e-07
# > X3         1    9.7938691    9.7938691   1.63696188 2.366003e-01
# > X4         1    0.2469747    0.2469747   0.04127972 8.440715e-01
# > Residuals  8   47.8636394    5.9829549           NA           NA

# To obatin R squared, adjusted R squared, residuals, or fitted values alone
rst$R2    # > [1] 0.9823756
rst$R2_adj    # > [1] 0.9735634

rst$residuals
# >           [,1]
# > [1,]  0.004760419
# > [2,]  1.511200700
# > [3,] -1.670937532
# > [4,] -1.727100255
# > [5,]  0.250755562
# > [6,]  3.925442702
# > [7,] -1.448669087
# > [8,] -3.174988517
# > [9,]  1.378349477
# > [10,]  0.281547999
# > [11,]  1.990983571
# > [12,]  0.972989035
# > [13,] -2.294334073

rst$fitted.values
# >           [,1]
# > [1,]  78.49524
# > [2,]  72.78880
# > [3,] 105.97094
# > [4,]  89.32710
# > [5,]  95.64924
# > [6,] 105.27456
# > [7,] 104.14867
# > [8,]  75.67499
# > [9,]  91.72165
# > [10,] 115.61845
# > [11,]  81.80902
# > [12,] 112.32701
# > [13,] 111.69433


######################## cpr_coef ########################
# Given the data as below
p = 5
y = c(1,3,3,3,4,5,3,2,-1)

cpr_coef(p, y)

# > $coefficients
# >                 Estimate
# > (intercept)  3.452393951
# > b1          -1.100167971
# > b2          -0.550083985
# > b3          -0.183361328
# > b4          -0.045840332
# > b5          -0.009168066
# > 
# > $fitted.values
# > [1] 3.323103 3.178619 3.017156 2.836727 2.635118 2.409875 2.158283 1.877347 1.563772
# > 
# > $residuals
# > [1]  2.32310324  0.17861859  0.01715603 -0.16327333 -1.36488198 -2.59012461 -0.84171677 -0.12265344  2.56377227

# To obtain the results separately
cpr_res = cpr_coef(p, y)

cpr_res$coefficients

# >                 Estimate
# > (intercept)  3.452393951
# > b1          -1.100167971
# > b2          -0.550083985
# > b3          -0.183361328
# > b4          -0.045840332
# > b5          -0.009168066

cpr_res$residuals
# > [1]  2.32310324  0.17861859  0.01715603 -0.16327333 -1.36488198 -2.59012461 -0.84171677 -0.12265344  2.56377227

cpr_res$fitted.values
# > [1] 3.323103 3.178619 3.017156 2.836727 2.635118 2.409875 2.158283 1.877347 1.563772


hzhang0311/lmcoef documentation built on Dec. 20, 2021, 5:55 p.m.